Beranda
/ Soal Perpangkatan Dan Bentuk Akar / Perpangkatan Dan Bentuk Akar Tambah Pinter : Hasil kali dari perpangkatan dengan basis yang sama sifat perkalian dalam perpangkatan:
Soal Perpangkatan Dan Bentuk Akar / Perpangkatan Dan Bentuk Akar Tambah Pinter : Hasil kali dari perpangkatan dengan basis yang sama sifat perkalian dalam perpangkatan:
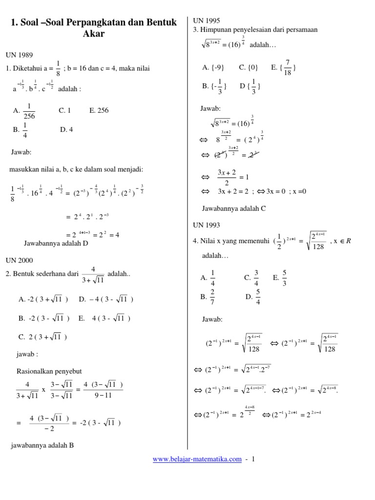
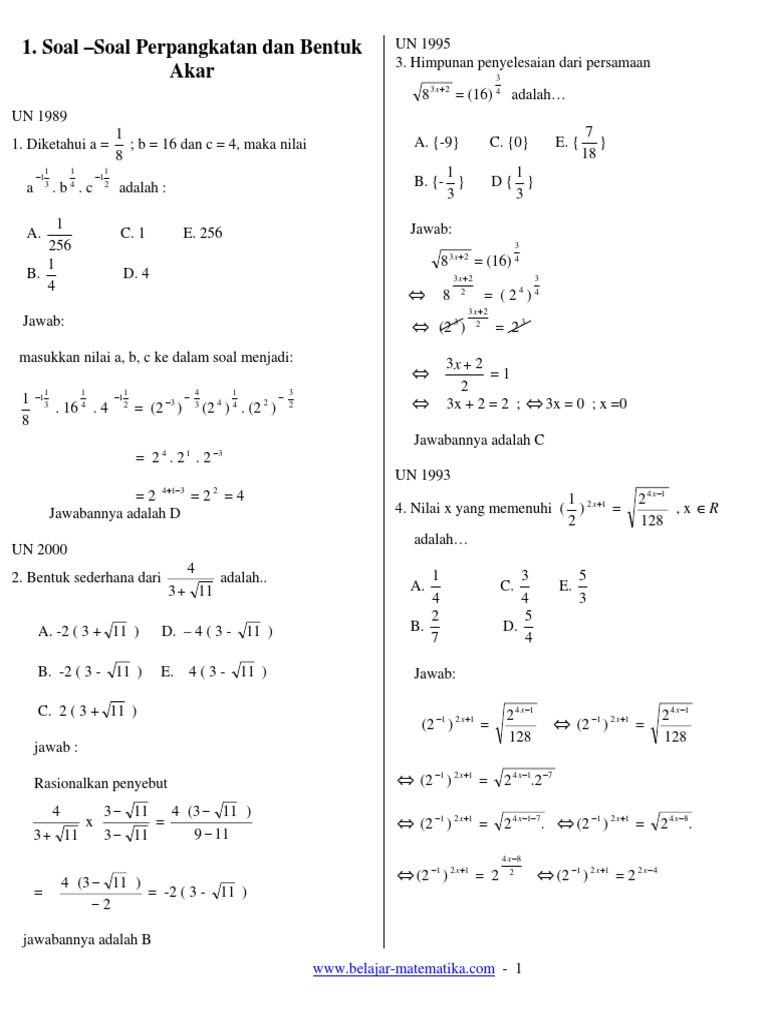
Soal Perpangkatan Dan Bentuk Akar / Perpangkatan Dan Bentuk Akar Tambah Pinter : Hasil kali dari perpangkatan dengan basis yang sama sifat perkalian dalam perpangkatan:. 32 × 33 = 32 + 3 = 35. Pembahasan merasionalkan bentuk akar, kalikan dengan sekawannya: Hitunglah hasil dari perpangkatan berikut 100 ? No4 seharusnya kali 10^12 kan ada koma. Pada bab i perangkatan dan bentuk akar meliputi beberapa pembahasan, yaitu:
Perpangkatan dan bentuk akar alokasi waktu : Pemerintah daerah setempat berencana menanami lapangan dengan. Himpunan penyelesaian dari persamaan akar 3 3x+2 4 8 = (16) adalah… Diterbitkan olehherman muljana telah diubah 3 tahun yang lalu. Soal pangkat dan akar ini terdiri dari 20 butir soal pilihan ganda.
Perpangkatan Dan Bentuk Akar Tambah Pinter from i0.wp.com Penerapan bentuk pangkat dan bentuk akar dalam kehidupan sehari. Di sebuah desa di kabupaten larantuka, kupang ntt terdapat sebuah lapangan seukuran lapangan sepak bola 120 m x 90 m. Malpersrei bilangan berpangkat akar dan logaritma. Himpunan penyelesaian dari persamaan akar 3 3x+2 4 8 = (16) adalah… .perkalian pada perpangkatan dan pembagian pada perpangkatan, maka saatnya sekarang kerjakan soal di bawah ini dengan menuliskan jawaban di selembar kertas diberi nama lengkap sampai jumpa di materi berikutnya yaitu operasi bentuk akar. Perpangkatan dan bentuk akar alokasi waktu : Menghargai dan menghayati ajaran agama 3. 32 × 33 = 32 + 3 = 35.
Dapatkan hasil dari operasi perpangkatan berikut ini.
Diterbitkan olehherman muljana telah diubah 3 tahun yang lalu. 10 soal dan pembahasan permasalahan program linear. Pembahasan jadikan satu akar saja, kalikan seperti ini, baru ubah ke bentuk perpangkatan. Selanjutnya kita akan membahas bentuk akar. Perpangkatan dan bentuk akar alokasi waktu : Bab i perpangkatan dan bentuk akar. Pemerintah daerah setempat berencana menanami lapangan dengan. 9 ubah bentuk akar berikut ke bentuk pangkat! Soal dan pembahasan matematika bentuk pangkat dan akar 6 10. Dari bilangan pangkat berikut, tentukanlah berapa nilai yang dihasilkan dari bilangan pangkat tersebut (52. Ka mau nanyh soal mtk blh ap gk. Dapatkan bentuk perpangkatan yang ekivalen dengan bilangan di bawah ini (jawaban dapat lebih dari satu perpangkatan ) a. Di sebuah desa di kabupaten larantuka, kupang ntt terdapat sebuah lapangan seukuran lapangan sepak bola 120 m x 90 m.
Pemerintah daerah setempat berencana menanami lapangan dengan. Tutorial menjawab soal kelas 9 smp materi perpangkatan dan bentuk. Bentuk akar yaitu bentuk lain untuk menyatakan suatu bilangan yang berpangkat. 7 x pertemuan ( 17 x 40 menit) a. Ka mau nanyh soal mtk blh ap gk.
Soal Perpangkatan Dan Bentuk Akar Kelas 9 Pdf Berbagi Bentuk Penting from quipper-video-wordpress.s3.amazonaws.com Materi pembelajaran pertemuan ke 1 ke 2 ke 3 dan ke 4 a. Pembahasan jadikan satu akar saja, kalikan seperti ini, baru ubah ke bentuk perpangkatan. Bentuk akar yakni merupakan bentuk lain guna menyatakan suatu bilangan yang berpangkat. Malpersrei bilangan berpangkat akar dan logaritma. Ini termasuk salah satu materi di kelas 9 yang perlu dipahami. Kemudian bentuk akar juga termasuk kedalam bilangan irasional yang mana bilangan irasional tidak dapat dinyatakan dengan pecahan a/b, a dan b bilangan bulat a dan b ≠ 0. No4 seharusnya kali 10^12 kan ada koma. Soal bab i perpangkatan dan bentuk akar matematika smp kelas ix kurikulum 2013 semester 1.
Dapatkan hasil dari operasi perpangkatan berikut ini.
Eksponen, perpangkatan, & bentuk akar. Klikhari 12:03 tidak ada komentar. Bab i perpangkatan dan bentuk akar. Jadi hasil dari bilangan pangkat 35 + 37 adalah 2.430 dan jawaban ini benar karena sisi kanan dan kirinya sama. Siswa mengerjakan beberapa soal mengenai bilangan berpangkat siswa mendiskusikan hasil pengamatannya dan memverifikasi hasil. Ka mau nanyh soal mtk blh ap gk. Menghargai dan menghayati ajaran agama 3. .perkalian pada perpangkatan dan pembagian pada perpangkatan, maka saatnya sekarang kerjakan soal di bawah ini dengan menuliskan jawaban di selembar kertas diberi nama lengkap sampai jumpa di materi berikutnya yaitu operasi bentuk akar. Malpersrei bilangan berpangkat akar dan logaritma. 7 x pertemuan ( 17 x 40 menit) a. Berikut ini kami berikan beberapa soal latihan disertai pembahasannya. Soal dan pembahasan matematika bentuk pangkat dan akar 6 10. Sederhanakan hasil perpangkatan dari bilangan berpangkat di bawah ini beberapa contoh bilangan irasional di dalam bentuk akar yakni √2, √6, √7, √11 dan lain sebagainya.
Bentuk akar yaitu bentuk lain untuk menyatakan suatu bilangan yang berpangkat. 32 × 33 = 32 + 3 = 35. Merupakan materi awal dalam belajar matematika di sma. Ini adalah sebuah bilangan yang hasilnya bukan termasuk bilangan rasional atau bilangan irasional. Bab i perpangkatan dan bentuk akar.
Contoh Soal Perpangkatan Dan Bentuk Akar Matematika Smp from arisrusmana.files.wordpress.com Dapatkan bentuk perpangkatan yang ekivalen dengan bilangan di bawah ini (jawaban dapat lebih dari satu perpangkatan ) a. Eksponen, perpangkatan, & bentuk akar. Materi perpangkatan dan bentuk akar ini dipelajari dalam pelajaran matematika, juga digunakan dalam perhitungan pelajaran fisika dan kimia. Soal pangkat dan akar ini terdiri dari 20 butir soal pilihan ganda. Jadi hasil dari bilangan pangkat 35 + 37 adalah 2.430 dan jawaban ini benar karena sisi kanan dan kirinya sama. Kemudian bentuk akar juga termasuk kedalam bilangan irasional yang mana bilangan irasional tidak dapat dinyatakan dengan pecahan a/b, a dan b bilangan bulat a dan b ≠ 0. Soal 6 diberikan x = 24 dan y = 54. Pokok pelajaran eksponen atau perpangkatan, tetapi ada beberapa yang menyatakan dengan nama bentuk pangkat.
Diterbitkan olehherman muljana telah diubah 3 tahun yang lalu.
Bentuk akar yaitu bentuk lain untuk menyatakan suatu bilangan yang berpangkat. Pemerintah daerah setempat berencana menanami lapangan dengan. Kemudian bentuk akar juga termasuk kedalam bilangan irasional yang mana bilangan irasional tidak dapat dinyatakan dengan pecahan a/b, a dan b bilangan bulat a dan b ≠ 0. Rumus perpangkatan untuk bilangan dengan pangkat nol adalah sebagai berikut ini untuk lebih memahami perpangkatan dan bentuk akar mari kita pelajari contoh soal perpangkatan. 9 ubah bentuk akar berikut ke bentuk pangkat! Himpunan penyelesaian dari persamaan 3. Menghargai dan menghayati ajaran agama 3. Tentukanlah hasil operasi dibawah ini dan tuliskan dalam bentuk perpangkatan paling sederhana! Materi perpangkatan dan bentuk akar ini dipelajari dalam pelajaran matematika, juga digunakan dalam perhitungan pelajaran fisika dan kimia. Jadi hasil dari bilangan pangkat 35 + 37 adalah 2.430 dan jawaban ini benar karena sisi kanan dan kirinya sama. Bab i perpangkatan dan bentuk akar. Merupakan materi awal dalam belajar matematika di sma. Sesuai dengan definisinya, eksponen mengandung bentuk perpangkatan dan akar.
Berbagi
Posting Komentar
untuk "Soal Perpangkatan Dan Bentuk Akar / Perpangkatan Dan Bentuk Akar Tambah Pinter : Hasil kali dari perpangkatan dengan basis yang sama sifat perkalian dalam perpangkatan:"
Posting Komentar untuk "Soal Perpangkatan Dan Bentuk Akar / Perpangkatan Dan Bentuk Akar Tambah Pinter : Hasil kali dari perpangkatan dengan basis yang sama sifat perkalian dalam perpangkatan:"